从AMM到订单簿: 探索Polymarket定价机制的转变以及与DEX结合的可能性
作者: @BlazingKevin_ ,the Researcher at Movemaker
在 Polymarket 中,每一个预测市场本质上就是一个“关于未来事件的概率交易所”,用户可以通过买入某个选项(如“特朗普将赢得2024年美国大选”)来表达对该事件的判断。
又因为对概率事件的买入不同于常见的交易, 因此Polymarket最初使用的定价和流动性机制也和常见的AMM算法不同. Polymarket的定价机制从最初的版本到现在经历了巨大的变化, 首先采用的是一种AMM机制来实时提供流动性与定价,叫对数市场评分规则简称 LMSR. 这种算法目前也被其他一些加密协议, 如Ethos等使用.
了解LMSR的特点就能明白Polymarket在大部分时期的定价机制, 以及其他协议选择LMSR的理由, 也能明白Polymarket从LMSR升级至链下订单簿的原因.
LMSR的特点以及优缺点
什么是 LMSR?
LMSR 是一种专门为预测市场设计的定价机制,它允许用户根据自己的判断买入某个选项的“份额”,而市场会根据总需求自动调整价格。LMSR 的最大特点是:不依赖对手方也能完成交易,即使你是第一个交易者,系统也能为你定价和成交。这让预测市场拥有类似 Uniswap 一样的“永续流动性”。
通俗来讲,LMSR 是一个成本函数模型,它根据用户当前持有的各个选项的“份额”来计算价格。这种机制确保了价格始终能反映出当前市场上对不同事件结果的预期概率。
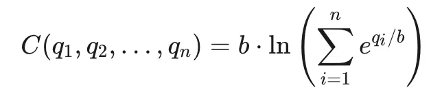
LMSR 的核心公式
LMSR 的成本函数 C 是根据一个市场中所有可能结果的已售出份额数量来计算的。其公式为:

这里的符号代表:
- C(…): 成本函数,表示做市商为了维持当前所有结果的份额分布所付出的总成本。
- n: 市场中可能结果的总数(例如,对于“是/否”市场,n=2)。
- qi:表示第 i 个选项的当前已购买份额(可以理解为“投票权”或“下注数量”)
- b:是一个流动性参数,越大表示市场越“稳定”,价格对新交易的反应越不敏感
- C(q):表示要使市场从当前状态变动至 q 的成本

这个公式最重要的特性是,所有结果的价格之和恒等于1(∑Pi=1)。当一个用户购买“是”份额时,$q(YES)增加,导致P(YES)上升,同时P(NO)下降,从而维持价格总和为1。
定价如何产生?
LMSR 的另一个关键点在于,价格是成本函数的边际导数。即第 i 个选项的价格 pi是你再买入一单位该选项时需支付的边际成本:

这意味着:
- 如果某个选项的购买量越大(即越多人押注它会发生),它的价格就会逐渐上升;
- 最终价格会趋近于反映每个选项发生的市场主观概率。
比如,在一个“是/否”二选一的预测市场中,若大多数人买入“是”,那么“是”的价格可能会上涨到 0.80,而“否”则降为 0.20,这就像是在说“市场认为事件发生的概率是 80%”。
此外, 无论在哪种流动性下,成本函数的曲线都是向上延伸的。这意味着购买的份额越多,需要支付的总成本就越高。
流动性参数 b 的作用: b值的大小直接决定了曲线的“平缓”程度,也就是市场的流动性或“厚度”。
- 高流动性 (左图, b=100): 曲线相对平缓。这意味着,即使你购买了大量的份额,价格的上涨速度也比较慢。这样的市场可以“吸收”大额的交易而不会产生剧烈的价格波动。
- 低流动性 (右图, b=20): 曲线非常陡峭。这意味着,哪怕只是少量购买,也会导致价格的急剧上升。这样的市场非常敏感,流动性较差。
高流动性(大的b值)就像一个“缓冲垫”,让市场能吸收更大的购买力而价格不剧烈变动(曲线平缓);低流动性则非常敏感(曲线陡峭)。


LMSR的机制权衡与Polymarket的范式迁移
在探讨Polymarket向订单簿模式的演进之前,有必要先解析其早期采用的LMSR机制。LMSR并非一个简单的技术选项,而是一套具有明确设计哲学与内在权衡的底层协议,其特性决定了它在预测市场不同发展阶段的历史定位。
LMSR的核心机制与设计权衡
LMSR的根本设计目标是信息聚合,而非做市商盈利。它通过一种自动化的数学模型,为预测市场解决了最棘手的“冷启动”问题,即在早期缺乏交易对手方时的流动性供给。
1. 优势分析:无条件的流动性供给与可控的做市风险 LMSR最核心的贡献在于,它确保了市场在任何时间点都存在交易对手方。无论市场观点多么冷门或极端,做市商总能提供一个买入或卖出的报价。这从根本上解决了传统订单簿在早期市场中因流动性稀薄而无法成交的困境。
与此相对应,为这种“无限”流动性提供担保的做市商,其潜在的最大损失是可预测且有界的。最大损失由流动性参数“b”和市场结果数量“n”共同决定,其公式为“最大损失 = b⋅ln(n)”。这种风险的确定性,使得赞助一个预测市场的成本变得可控,消除了无限亏损的风险,这对于需要启动新市场的协议方或组织至关重要。
2. 内在缺陷:静态流动性与非盈利导向 然而,LMSR的优势也带来了其无法克服的结构性缺陷。
- b参数困境与静态流动性: 这是LMSR最核心的制约。流动性参数“b”在市场创建时即被设定,且通常在市场生命周期内保持不变。大的“b”值意味着流动性深、价格稳定,但对新信息反应迟钝;小的“b”值则意味着价格敏感、能快速聚合观点,但市场脆弱、波动剧烈。这种静态设定使市场无法根据流动性的实际增减和信息流的变化,来自适应地调整其深度与敏感度。
- 做市商的补贴角色: LMSR模型在理论上的数学期望是亏损的。做市商的损失,被视为其为获取市场集体智慧(即所有交易形成的最终准确价格)所支付的“信息费用”。这一定位决定了它本质上是一个由发起方补贴交易的系统,不适用于追求利润的做市商模型,也难以构建一个由大量去中心化LP共同参与的盈利生态。
此外,LMSR在链上实现时,涉及的对数和指数运算相较于DEX中常见的四则运算,会消耗更多的Gas,这进一步增加了其在去中心化环境下的交易摩擦。
范式迁移:Polymarket放弃LMSR的逻辑必然性
综上分析,LMSR是一个在平台早期、流动性匮乏阶段高效实用的工具。但当Polymarket的用户与资金体量越过临界点后,其以牺牲效率为代价换取流动性的设计,便从优势转变为发展的桎梏。其向订单簿模式的迁移,是基于以下几点战略考量:
- 资本效率的根本诉求: LMSR要求做市商为从0%到100%的整个价格区间提供流动性,这导致大量资本沉淀在成交概率极低的价格点上,资本效率低下。订单簿则允许做市商与用户将流动性精准集中在市场最活跃的价格区间,这与专业做市策略高度契合。
- 交易体验的优化: LMSR的算法特性决定了任何规模的交易都不可避免地产生滑点。对于流动性日益增厚的市场而言,这种固有的交易摩擦会阻碍大额资金的进入。而成熟的订单簿市场能通过密集的对手盘深度吸收大额订单,提供滑点更低、体验更优的交易执行。
- 吸引专业流动性的战略需要: 订单簿是专业交易者与做市机构最通用、最熟悉的市场模型。转向订单簿,意味着Polymarket向加密世界乃至传统金融的专业流动性供应商发出了明确的邀请信号。这是平台从吸引散户参与,迈向构建专业级市场深度的关键一步。
当前Polymarket的定价以及流动性机制
Polymarket的升级,是其在用户规模与平台成熟度达到临界点后的必然选择。这一转变的背后,是其对交易体验、Gas成本与市场深度三重目标的系统性考量。其当前的架构,可以从流动性机制与价格锚定逻辑两个层面进行解析。
链上结算与链下订单簿的混合模式
Polymarket的流动性机制采用了一种链上与链下结合的混合架构,旨在兼顾去中心化结算的安全性与中心化交易的流畅体验。
- 链下订单簿 : 用户的限价单提交与撮合均在链下服务器完成,操作即时且无Gas成本。这使得Polymarket的交易体验与中心化交易所趋同,用户可以直观地看到由所有限价单构成的市场深度(买卖盘口)。流动性因此直接来源于所有交易参与者自身,而非被动的流动性资金池。
- 链上结算: 当链下订单簿中的买单与卖单成功撮合,最终的资产交割步骤会在Polygon链上通过智能合约执行。这种“链下撮合、链上结算”的模式,在保留订单簿灵活性的同时,确保了交易结果的最终性与资产归属的不可篡改性。其显示的“价格”,即是链下订单簿中买一价与卖一价的中点。
价格锚定的底层逻辑——份额对铸造与套利循环
对于预测市场,核心机制是如何确保“是”(YES)与“否”(NO)两种结果的概率总和恒等于100%(即“$1”)。订单簿模式本身不通过代码强制限定挂单价格,而是通过一套精巧的底层资产设计与套利机制,利用市场自身的修正力量,确保价格总和始终向“$1”收敛。
1. 核心基础:完整份额对的铸造与赎回 该机制的基石是Polymarket合约层建立的一个不可动摇的价值等式。
- 铸造: 任何参与者都可以向合约存入“$1” USDC,并同时获得1个YES份额与1个NO份额。此操作确立了“1 YES份额 + 1 NO份额 = $1”的底层价值锚定。
- 赎回: 同样,任何同时持有1个YES份额和1个NO份额的参与者,可随时将其组合并交还给合约,赎回“$1” USDC。
这一双向通道确保了一套完整结果的总价值被牢固地锚定在“$1”。
2. 价格发现:独立的订单簿交易 基于上述基础,YES份额和NO份额作为两种独立的资产,在各自的订单簿上与USDC进行交易。参与者可以自由挂出任何价格的限价单,协议层对此不设限制。这种自由定价机制必然会导致价格偏离,从而为套利者创造机会。
3. 价格约束:市场化的套利修正 套利者(通常为自动化机器人)的逐利行为是确保价格回归的关键。一旦YES与NO份额的交易价格之和偏离“$1”,无风险套利窗口便会打开。
- 当 “P(YES) + P(NO) > $1” (例如 “$0.70 + $0.40 = $1.10”): 套利者会执行“铸造-卖出”操作:向合约存入“$1”,铸造出1个YES和1个NO份额,再立即于订单簿上分别以“$0.70”和“$0.40”卖出,获得“$0.10”的无风险利润。此行为大量发生,会增加市场的卖盘压力,驱动YES和NO的价格同步下跌,直至其总和回归“$1”。
- 当 “P(YES) + P(NO) < $1” (例如 “$0.60 + $0.30 = $0.90”): 套利者会执行“买入-赎回”操作:在订单簿上分别以“$0.60”和“$0.30”买入1个YES和1个NO份额,再将其组合后交由合约赎回“$1”,获得“$0.10”的无风险利润。此行为会增加市场的买盘需求,驱动两个份额的价格同步上涨,直至总和回归“$1”。
这套机制的设计精髓在于,协议本身不扮演裁判员,而是通过建立一套牢固的价值锚点和开放的套利通道,让市场参与者的逐利行为成为维护系统价格稳定性的决定性力量。
Polymarket与DEX结合的可能性
Polymarket选择从AMM升级至订单簿模式, 一方面是平台的使用人数爆发式上涨, 流动性充裕, 订单簿体验不至于糟糕; 另一方面, 定价机制升级之后更适合专业做市商参与.
随着X 正式宣布与 Polymarket 建立合作关系, Polymarket也成为了X的官方预测市场. Polymarket与X不对称的用户基数无疑会为前者带来更进一步的新用户. 在这个过程中, Polymarket又会与加密协议形成用户基数的不对称, 用户的流量闸门会随着X经Polymarket进入加密行业.
在这个前提下, 我们需要思考的是Polymarket与加密协议之间新的可能性, 进一步讲, Polymarket与DEX结合的可能性.
首先,Polymarket为DEX生态参与者提供了原生且高效的风险对冲工具。DEX中的资产持有者与LP普遍面临着无常损失、协议风险或宏观波动的风险敞口。传统对冲工具在DeFi中存在割裂感,而Polymarket的事件合约恰好能成为其风险定价的“镜像层”。例如,针对“某稳定币是否脱锚”或“某协议升级能否成功”的预测合约,可以直接被DEX用户用来对冲其链上头寸的潜在损失。这种模式将风险管理从被动承受转变为主动配置,成为了DeFi生态中一个可组合的金融“积木”。
其次,预测市场的价格数据可作为DEX集中流动性管理的高价值先行指标。在Uniswap V3等集中流动性模型中,LP的资本效率与风险呈正相关,对市场变化的反应速度决定了其盈利能力。Polymarket上关于关键事件的实时赔率,本质上是市场对未来概率的集体共识,其变动往往早于链上资产的价格波动。自动化策略可以捕捉这一先行信号,用于动态调整LP的头寸区间——在风险概率升高时拓宽区间或撤出,在确定性增强时收窄区间。这将LP从被动的流动性“沙袋”转变为主动的、基于概率的风险管理者。
再者,通过将DEX的核心指标与Polymarket的事件结果挂钩,能够催生出全新的结构化金融产品。协议的增长需要与社区利益深度绑定,而Polymarket为此提供了透明、公正的外部验证机制。协议可以设计一种“条件化”的收益分配模型:例如,将大部分交易手续费的分配,与Polymarket上“本季度交易量能否突破N亿美元”的事件结果绑定。若结果为“是”,则质押者分享超额收益;若为“否”,则收益用于回购销毁。这种设计将协议的KPI转化为社区可直接参与的金融产品,构建了更直接的利益共同体和价值捕获闭环。
综上所述,Polymarket与DEX的结合并非简单的功能叠加,而是基础设施层面的深度嵌合。Polymarket正在演变为一个面向整个加密行业的“风险定价层”与“信息预言机”。随着X带来的流量逐步渗透,其与DEX这类基础协议的融合,将不再是可选项,而是决定未来DeFi生态是否能走向更高效、更成熟、更具韧性的关键变量。